由于美联储降息前景和对央行未来的日益担忧,黄金价格创下历史新高,为贵金属多年的涨势注入了新的动力。
现货黄金一度上涨0.9%,至每盎司3508.73美元,超过了4月份创下的前高点,但在周二亚洲早盘交易中有所回吐。今年以来,黄金价格已上涨逾30%,成为表现最佳的主要大宗商品之一。
美联储主席杰罗姆·鲍威尔谨慎地为降息敞开大门后,市场预期美联储本月将降息,这加剧了近期金价上涨。本周五发布的一份重要美国就业报告可能会进一步加剧劳动力市场日益低迷的迹象,从而支持降息。这提升了贵金属的吸引力,因为贵金属不支付利息。
瑞银集团策略师乔尼·特维斯表示:“投资者增持黄金,尤其是在美联储降息迫在眉睫之际,正在推高金价。我们的基本预测是,未来几个季度金价将继续创下新高。低利率环境、疲软的经济数据以及持续上升的宏观不确定性和地缘政治风险,增强了黄金作为投资组合多元化工具的作用。”
与此同时,白银的涨势持续强于黄金。今年迄今,白银价格已上涨逾40%,周一价格自2011年以来首次突破每盎司40美元。白银还因其在太阳能电池板等清洁能源技术中的工业用途而受到重视。据行业组织白银协会(Silver Institute)称,在此背景下,市场将迎来第五年的供应短缺。美元走弱也提振了中国和印度等主要消费国的购买力。
另外,铜价上个月也上涨,目前已小幅升至每吨 10,000 美元的关键关口。
铜价上次突破10,000美元是在7月份,尽管美国总统唐纳德·特朗普未对交易最广泛的铜价征收进口关税,一些人预测铜价将下跌,但铜价仍表现出相对的韧性。美国铜期货价格仍高于作为全球基准的伦敦铜价,而且铜价仍在流向美国。
今年,中国经济活动相当强劲,支撑了铜需求。紫金矿业集团股份有限公司(Zijin Mining Group Co.)的数据显示,上半年,中国这个全球最大铜市场的表观消费量增长了约10%。不过,也有警告称,下半年的前景将更加温和。
高盛集团在 8 月 29 日的一份报告中表示:“中国的整体经济活动数据似乎正在减弱,近几个月铜和铝的表观消费量增长有所放缓,这符合我们的预期。”
技术面分析:
微信功能不定期受限,要体验插件的同学请在加好友时备注下联系方式,方便我们回加!!!
黄金:昨天我们插件提醒的蓝色区域突破即买入的操作表现很不错,今早价格一波最高升至3508附近。日内我们关注回踩确认的信号,在3470/80区域应该要尝试1-2次。详细位置请咨询插件。

插件每个交易日12:00-13:00更新,想要体验图中同款插件请联系V:Hana-fgfg 备注一下你的联系方式,方便我们回加
纳指:昨天美国休市,我们插件给出观望(STAND BY)的提醒,结果隔夜价格基本维持盘整走势。今天我们等待价格突破后出现新方向再做短线的顺势操作。请注意,向上突破或者向下突破,我们都可以考虑参与。详细位置请咨询插件。

(纳指 15min图)
插件每个交易日12:00-13:00更新,想要体验图中同款插件请联系V:Hana-fgfg 备注备注一下你的联系方式,方便我们回加
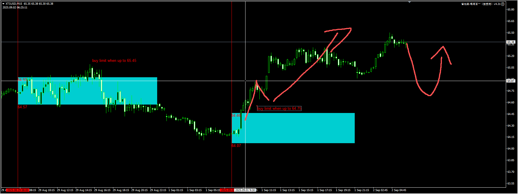
原油:昨天价格突破之后,回踩的低点距离我们蓝色区域相差0.17,没有能够入场。日内关注价格回踩的表现,我们建议关注65下方附近的扫流动性之后的表现,等待新的反弹信号出现后可以参与1次。详细位置请咨询插件。

(原油 15min图)
插件每个交易日12:00-13:00更新,想要体验图中同款插件请联系V:Hana-fgfg 备注备注一下你的联系方式,方便我们回加
今日重点关注的财经数据与事件:
21:45 美国8月标普全球制造业采购经理人指数终值
22:00 美国8月ISM制造业采购经理人指数


